返回顶部
首页
机械 | 工程 | 工具 | 行业 | 信息 | 集合 | 诗词 | 组词 | 范文 | 诗歌 |
 
外链业务,软文发布业务,图片广告业务,二级目录业务请联系QQ23341571 外图氧AI,机械图一键生成,电商主图制作,电商详情页,位图转适量,视频生成 萌神战姬手游天天领取648冲,萌神战姬,萌神战姬手游,虚拟女友,萌神战姬虚拟女友
您现在的位置:
首页 涂料生产设备 详细信息

有机硅改性环氧丙烯酸阴极电泳漆的制备,将正硅酸乙酯( TEOS) 与甲基丙烯酸羟丙酯( HPMA) 经酸催化合成一种表面带有双键的二氧化硅活性粒子

2020-03-02    阅读量:33700    新闻来源:互联网     |  投稿

电泳漆由于对环境和施工人员危害小而被广泛应用。它的主要特点是涂装效率高、经济安全、可实现自动化管理。电泳漆主要分为阳极电泳和阴极电泳漆,阴极电泳漆具有良好的耐腐蚀性和高泳透力,是一些工件电泳底涂的主要原料中国机械网okmao.com


目前阴极电泳漆的主要成分为环氧 - 丙烯酸树脂,该类涂料粘结性高、固化速度快、耐化学药品性能优异,而且价格便宜,但是其存在耐候性差,与一些材料的粘结强度小,气味大等缺点,所以需要对环氧 -丙烯酸树脂进行改性研究。DE G发明了一种用高相对分子质量多官能团环氧改性丙烯酸 - 环氧共聚物制备水性环氧树脂的方法,但是由于引入一些水溶性基团,使漆膜的耐水性、高温稳定性有所下降。


聚硅氧烷拥有良好的憎水性、耐热性、生物相容性等性能,引入Si—O—C键,可以增强其交联密度、硬度、附着力及涂膜的耐腐蚀性。聚硅氧烷以Si—O—C键为主链,因Si—O—C键的键长比C—C键的长,且Si—O—C键易旋转,使得其分子链段的柔韧性较高。Si—O—C键的键能比C—C键的高,所以破坏它需要更大的热量,因此其具有非常好的耐温性。


刘文艳等将环氧树脂与乙烯基三乙基硅烷( A151) 、甲基丙烯酸等接枝共聚,合成有机硅改性环氧树脂水分散体,其固化涂膜的 Tg、附着力、柔韧性都有所提高。因正硅酸乙酯相对稳定,所以难以发生自由基聚合,使其直接与树脂反应。本研究通过硅烷偶联剂制得不饱和有机硅,通过接枝共聚引入到树脂上,并用半封闭的固化剂来降低能耗,最终得到改性的阴极电泳漆。

 

1 实验内容

1. 1 实验原料

丙烯酸丁酯、二乙醇胺、苯乙烯、无水乙醇: 分析纯,上海凌峰化学试剂有限公司; 六亚甲基二异氰酸酯( HDI) : 分析纯,上海晶纯试剂有限公司; 正硅酸乙酯( TEOS) : 宜兴市展望化工试剂厂; 乙酸、甲基丙烯酰胺、甲基丙烯酸甲酯( MMA) 、异丙醇、乙酸乙酯、丙二醇甲醚,甲基丙烯酸羟丙酯( HPMA) : 分析纯,国药集团化学试剂有限公司; 偶氮二异丁腈( AIBN) 、乙二醇丁醚: 分析纯,上海凌峰化学试剂有限公司; 环氧树脂 901: 广州维立纳贸易有限公司。


1. 2 实验步骤

1. 2. 1 有机硅的制备

在装有蒸馏装置和电动搅拌的 250 mL 三口瓶中,按 n( TEOS) ∶ n ( HPMA) = 1 ∶ 4 加入 TEOS 和HPMA,加入适量催化剂,在 78 ℃ 缩合反应 2 h。在反应的过程中,不断脱除副产物乙醇。待乙醇完全脱出后,得到澄清透明的 TEOS 与 HPMA 缩合物。


1. 2. 2 有机硅改性环氧丙烯酸电泳漆的制备

在氮气的保护下,向四口烧瓶中加入环氧树脂及溶剂,在80 ℃下滴加混合单体甲基丙烯酰胺、乙二醇乙醚、AIBN、苯乙烯、甲基丙烯酸甲酯和制得的有机硅,反应 2 h,然后保温 2 h,降温至 50 ℃后加入二乙醇胺,反应0. 5 h,降温至45 ℃,再加入半封闭的固化剂,反应 1 h,用适量乙酸中和后得到改性阴极电泳漆。


1. 2. 3 电泳和固化过程

电泳: 按照 GB 1727—1992《漆膜的一般制备法》,处理好马口铁板,再将其与阴板接好,浸入涂料中。电泳参数: 电泳电压80 V,电泳时间30 s,极间距5 ~ 10 cm,电泳温度 25 ℃ 。


漆膜的固化: 将电泳后的马口铁板放于烘箱中,160 ℃ 烘烤 0. 5 h。


1. 3 分析测试

( 1) FT - IR: 采用溴化钾压片法,使用美国 Per-king Elmer 公司的 Spectrum 型红外吸收分析光谱仪进行分析。

( 2) DSC: 采用瑞士 Mettler Toledo 公司的 821e/400 差式扫描量热仪进行测试,N2氛围,扫描范围为- 40 ~ 400 ℃ ,升温速率为 10 ℃ / min。

( 3) 铅笔硬度、贮存稳定性分别按 GB/T 6739—2006、GB / T 6753. 3—1986 测定,漆膜耐碱性按 GB / T9265—2009 测定,测试介质为 0. 1 mol / L 的 NaOH 溶液。耐酸性测试过程与耐碱性测试相同,其测试介质为 0. 1 mol/L 的 H2SO4溶液。

( 4) SEM: 试样喷金后采用日本电子株式会社JSM - 6360LV 型电子扫描电镜测试。

( 5) 吸水率测试: 称取适量样品,在 120 ℃真空下干燥至恒质量。将称量好的试样装入透析袋中,然后放入装有水的烧杯中,在 30 ℃下水浴加热 30 d 后取出试样,并用滤纸吸干表面的水分,称质量,按式( 1) 计算样品的吸水率 Wt。

吸水率

有机硅改性环氧丙烯酸阴极电泳漆的制备,将正硅酸乙酯( TEOS) 与甲基丙烯酸羟丙酯( HPMA) 经酸催化合成一种表面带有双键的二氧化硅活性粒子 中国机械网,okmao.com

式中,mw为试样吸水后质量,md为试样初始质量。

( 6) 特殊检验: 在 80 ℃下将制得的漆膜浸泡在5% NaCl 溶液中,快速腐蚀,观察并记录下涂膜表面出现腐蚀斑点的时间,对耐腐蚀性能给予评价。


1. 4 实验原理

( 1) 在催化剂的作用下,HPMA 分子中的—OH可以与 TEOS 分子中的—OCH2CH3发生缩合反应,生成活性单体,在反应过程中,不断除去反应的副产物乙醇,使缩合反应平衡向右移动,其反应式如式( 2)所示。

有机硅改性环氧丙烯酸阴极电泳漆的制备,将正硅酸乙酯( TEOS) 与甲基丙烯酸羟丙酯( HPMA) 经酸催化合成一种表面带有双键的二氧化硅活性粒子 中国机械网,okmao.com

( 2) 环氧树脂经羟基扩链生成一定环氧当量的树脂,然后和丙烯酸单体、有机硅接枝聚合,形成有多官能团的长链,再用胺做催化剂开环,其反应流程如图 1 所示。

反应流程

有机硅改性环氧丙烯酸阴极电泳漆的制备,将正硅酸乙酯( TEOS) 与甲基丙烯酸羟丙酯( HPMA) 经酸催化合成一种表面带有双键的二氧化硅活性粒子 中国机械网,okmao.com

( 3) 六亚甲基二异氰酸酯中有 2 个异氰酸基,可用作丙烯酸环氧树脂的交联剂,所以用乙二醇乙醚与HDI 反应,将 HDI 中的 1 个异氰酸基封闭,半封闭的HDI 和胺化丙烯酸环氧树脂反应,含有封闭基团的丙烯酸环氧树脂阴极电泳漆经过电泳成膜后,在160 ℃的温度下脱封再生的异氰酸酯基与丙烯酸环氧树脂的羟基和胺基交联成膜,其反应如式( 3) 所示。

有机硅改性环氧丙烯酸阴极电泳漆的制备,将正硅酸乙酯( TEOS) 与甲基丙烯酸羟丙酯( HPMA) 经酸催化合成一种表面带有双键的二氧化硅活性粒子 中国机械网,okmao.com

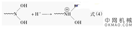
( 4) 最后再用冰醋酸酸化,得到改性环氧树脂,其反应如式( 4) 所示。

有机硅改性环氧丙烯酸阴极电泳漆的制备,将正硅酸乙酯( TEOS) 与甲基丙烯酸羟丙酯( HPMA) 经酸催化合成一种表面带有双键的二氧化硅活性粒子 中国机械网,okmao.com


2 结果与讨论

2. 1 产物的 FT - IR 分析

图 2 为有机硅和产物的 FT - IR 谱图。

样品的红外光谱

有机硅改性环氧丙烯酸阴极电泳漆的制备,将正硅酸乙酯( TEOS) 与甲基丙烯酸羟丙酯( HPMA) 经酸催化合成一种表面带有双键的二氧化硅活性粒子 中国机械网,okmao.com

图 2a 中,2 962 cm- 1处为—CH的伸缩振动吸收峰,1 457 cm- 1处 为 亚 甲 基 的 弯 曲 振 动 吸 收 峰,1 730 cm- 1处 为 C =O 的 伸 缩 振 动 吸 收 峰,1 398 cm- 1处为甲基的伸缩振动吸收峰,3 423 cm- 1处出现N—H键的伸缩振动吸收峰,进一步说明环氧树脂中的—OH与半加成物中的—NCO反应,在树脂中引 入 了 仲 胺 基 ( —NH—) ,同 时 2 270 cm- 1处—NCO基团特征吸 收 峰 消 失,说 明 半 加 成 物 中—NCO已参与反应。1 532 cm- 1为N—H弯曲振动吸收峰和 C—N 伸缩振动吸收峰的合频。


图 2b 中1 016 cm- 1处为Si—O—C的不对称伸缩振动吸收峰;图 2c 中1 155和1 085 cm- 1处的吸收峰为Si—O—C的不对称伸缩振动吸收,而958 cm- 1处的吸收峰为Si—O—C的对称伸缩吸收,图 2c 中1 642 cm- 1处为双键的伸缩振动吸收峰,而在图 2b 中,该处吸收峰消失,这表明有机硅中的双键已经参与了反应。图 3 为环氧树脂和有机硅改性的环氧树脂的差示扫描量热( DSC) 图。

有机硅改性环氧丙烯酸阴极电泳漆的制备,将正硅酸乙酯( TEOS) 与甲基丙烯酸羟丙酯( HPMA) 经酸催化合成一种表面带有双键的二氧化硅活性粒子 中国机械网,okmao.com

有机硅改性环氧 - 丙烯酸树脂的 DSC 曲线

从图 3 可知,有机硅改性的丙烯酸环氧树脂的玻璃化温度随有机硅添加量的增加而逐渐增大,这可能是因为有机硅的加入,使得聚合物引入了Si—O键,因Si—O键交联成网状,阻碍了分子链段的活动,使其链段的柔韧性变差,Tg增大。但并不是 Tg越大越好,Tg过高使得漆膜柔韧性变差,脆性变大,附着力降低.

 有机硅含量对改性环氧丙烯酸阴极电泳漆及其涂膜性能的影响

有机硅改性环氧丙烯酸阴极电泳漆的制备,将正硅酸乙酯( TEOS) 与甲基丙烯酸羟丙酯( HPMA) 经酸催化合成一种表面带有双键的二氧化硅活性粒子 中国机械网,okmao.com

从表1 可知,随有机硅含量的增加,电泳漆的水溶性逐步变差,因为有机硅水解交联阻碍了水分子向聚合物分子间渗透。改性后漆膜的耐酸碱性比改性前的耐酸碱性有明显改善。将漆膜放入 0. 1 mol/L 的H2SO4溶液中,发现未改性的漆膜很快被腐蚀,而随着有机硅含量的增加,腐蚀速度减缓,这主要是因为亲有机的C—C键和亲无机的Si—O键可以增加涂层与无机底层的粘结力。


从而提高附着力; 而在0. 1 mol/L 的NaOH 溶液中的耐碱性检测结果发现,有机硅改性后的漆膜表面上没有任何变化,而未改性的漆膜则失去光泽,变得不光滑,这表明有机硅的添加大大提高了漆膜的耐碱性。


同时,漆膜在 5% NaCl 溶液中的快速腐蚀实验也表明,有机硅的引入使得丙烯酸环氧阴极电泳涂料的耐腐蚀性得以增强,这可能是因为有机硅的引入使得聚合反应活性大大增强,增大了分子链间的交联密度,进而提高其耐腐蚀性。改性前后的电泳漆贮存稳定性相差较大,这可能是因为有机硅的增加使得乳液的水溶性变差进而影响其稳定性。


综合表 1 与DSC 分析可知,当有机硅添加量为 1. 8% 时,漆膜的耐化学性及热稳定性能最佳。


2. 3 漆膜的吸水率分析

图 4 为有机硅含量对漆膜耐水性的影响。

有机硅含量对漆膜耐水性的影响

有机硅改性环氧丙烯酸阴极电泳漆的制备,将正硅酸乙酯( TEOS) 与甲基丙烯酸羟丙酯( HPMA) 经酸催化合成一种表面带有双键的二氧化硅活性粒子 中国机械网,okmao.com

由图 4 可知,漆膜的吸水率随着有机硅含量的增加而降低,这可能是因为硅氧烷水解缩合,使其分子链间发生交联。增大其聚合物的交联密度,从而使聚合物分子链间很难被水分子溶胀,使水分子难以向聚合物分子间渗透。


2. 4 扫描电镜分析

为了观察漆膜在5%NaCl 溶液中的腐蚀情况,分别对用未改性和添加1.8%有机硅的电泳漆电泳过的铁片表面进行 SEM 分析,分析结果如图5 和图6 所示。

环氧 - 丙烯酸树脂表面扫描电镜图( ×2 000)

添加 1. 8% 有机硅的环氧 - 丙烯酸树脂表面扫描电 镜( ×2 000)

有机硅改性环氧丙烯酸阴极电泳漆的制备,将正硅酸乙酯( TEOS) 与甲基丙烯酸羟丙酯( HPMA) 经酸催化合成一种表面带有双键的二氧化硅活性粒子 中国机械网,okmao.com

从图 5 和图 6 可知,经过 48 h 后,未改性的漆膜已经大部分腐蚀脱落; 而改性过的漆膜变化不大,可见改性过的电泳漆其耐腐蚀性有所提高。


3 结 语

加入的有机硅与环氧丙烯酸树脂间形成了C—O—Si键,改善了漆膜的综合性能。随着有机硅含量增大,漆膜的吸水性降低,玻璃化转变温度、耐热性、耐腐蚀性提高,但贮存稳定性略有降低。当有机硅的添加量为1. 8%时,电泳漆漆膜的综合性能较好。


宫晟东1,翟林峰1,谭育远2,王华林* 1

( 1. 合肥工业大学化工学院,合肥 230009;2. 安徽海程涂复科技有限公司,合肥 231633)


免责声明:本文仅代表作者本人观点,与中网机械,okmao.com无关。本网对文中陈述、观点判断保持中立,不对所包含内容的准确性、可靠性或完整性提供任何明示或暗示的保证。请读者仅作参考,并请自行承担全部责任。本网转载自其它媒体的信息,转载目的在于传递更多信息,并不代表本网赞同其观点和对其真实性负责。如因作品内容、版权和其它问题需要同本网联系的,请在一周内进行,以便我们及时处理。客服邮箱:23341571@qq.com | 客服QQ:23341571
全站地图 | 二级目录 | 上链请联系业务QQ:23341571 或 业务微信:kevinhouitpro